math-basic-know-number
数学通识-数字
吴军数学通识讲义(原来数学可以这样用!文津图书奖得主吴军全新力作,一本文科生也能读懂的书)-吴军 著 得到出品-微信读书 (qq.com)
数学方法是 有规律的。研究:
- 具体->抽象:算数、几何 -> 代数(方程、虚数)
- 单点->网状:->函数、向量
- 静态->动态:->微积分
- 确定->不确定性:->概率和统计
数学方法规律:特例-引理-定理-推论-应用;
数字->方程、虚数
测量不同于推导

勾股定理推导
定义:直角三角形 直角边边长的平方加起来 等于 斜边长的平方
证明:边长为a的正方形的面积加上边长为b的正方形的面积,等于边长为c的正方形的面积,即 a²+b²=c² .
定理确定的方式:通过推导得出结论
定理确定意义:在平面上计算距离,确立了解析几何,进而建立起微积分等数学工具
定理推论:存在无理数,出现黄金分割
无理数-推导走出盲区
直角三角形,两直角边长为1,则 斜边长 =
整数相除形成的最简分数:A/B,需满足:
- A,B 都是整数
- A,B互素,即 不能再约分
3.=2
证明:反证法
设
奇数的平方不会是偶数,则 A 是偶数,设偶数 A =2C,C是整数
则
既然 A,B 同为偶数,则 A,B 可约分,与 条件2 互斥,
因此,
危机 带来 转机,带来新的发现。
不可被理解的,如果能通过准则推导出,或许是正确的,
如 宇宙的质量是负数,因为暗能量存在;
如黑洞、引力波、血液循环论、现代原子论;
由推导走出盲区,说明 数学具有预见性。
思考:
- 整数>部分 的 反例,无穷大
一条线段 10cm 长,另一条 5cm 长,证明:两条线段上的点一样多

D,E点能一一映射,所以,两条线段上的点一样多 - 全部<部分的反例,信息
旁氏骗局-推导发现矛盾
基本事实是 边际效应递减:随基数增大,增长递减。
房价上涨会变慢,特别是经济本身不上涨/人口↓/买房人↓ 时,地价捆绑房价另说。
旁氏骗局:
还不起房贷的人 得到贷款 买房,买房人↑,房价↑,房贷投资↑,螺旋向上,贷款投入>房市价值。
只要 房价↑,房贷投资者(投资人、投资银行、保险机构、银行)就能通过 利息/回收房子 赚到。
问题在于,还贷人集体断供,没人买房子,房价↓。
房价↓,房贷投资者破产。房价↑时便退出 的 投资者赚到了。
大量的房贷投资者破产,导致普遍无法过活,社会危机产生。
基于 房价不会一直快速上涨的事实,便知,投资不能完全信赖 投资评估机构,求高回报。
数学局限性
只要无法证明,便无法基于此创建新东西。
通过数学的方法,我们可能无法解决它,甚至无法 判断答案是否存在。
毕达哥拉斯定理:
纯数学需要运气,需要智力,人要根据特长做事情
工程学上的非线性方程,一般 简化成 线性方程 求 近似解
黄金分割-数学与美学

可视化:斐波那契数列

相邻两项的数列比趋近0.618
from turtle import *
#输入自定义数列的个数
amount=int(input("input the number of Fibonacci Sequence,recommended 15: "))
#数列产生
a1=0
a2=1
next_val=0
# 斐波那契数列
sequence=[]
# 斐波那契数列-公比集合 趋近于 0.618
geometricSeq=[]
# [1,amount]
for i in range(1,amount):
next_val=a1+a2
a1=a2
a2=next_val
#生成数列
geometricSeq.append(round(a2/a1,3))
sequence.append(a2)
# 打印
print(sequence)
print(geometricSeq)
#turtle画图
# [1,amount-1]
for i in range(1,amount-1):
# [0,4)
for n in range(4):
#
forward(sequence[i])
# 转个圈圈
left(90)
#画圆
circle(sequence[i],90)
#输出数列数值
write(sequence[i],font=("微软雅黑",i*2))
# loop until the GUI exist
mainloop()
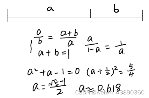
黄金分割 1:0.618,美感来自于 几何图形的 相似性。
黄金分割的性质:(1-0.618)/0.618=0.618,左右两侧的黄金分割点,其对称点是5
画家使用 单点透视法,将 三维形象 绘制到 二维平面 中;等比缩短法,远处景物画小。
华罗庚优选法::华罗庚与优选法统筹法的推广应用----中国科学院 (cas.cn)
数列和级数-趋势
数列:一串有规律的数字,强调数字联系和规律。
思想:举一反三、个案->通解、趋势、规律
数列和叫级数;
等比数列公比>=1,级数无穷大,发散
等比数列公比<1,级数有限,收敛
金字塔销售工资分配:资本运作传销的奖金分配计算的真实内幕
如果每次能回本 就很好,但往往是 分配比率 越来越低。 无穷小的累加和是一个定值,即便基数大
发展下线的趋势是正金字塔还好,但往往是倒金字塔。
保险区别于传销,在于 保险 难以复购,有 风险转移 的 良好价值观。
利息和月供
设,贷款120w买房,年利率6%,月利率0.5%,12个月还清,计算每月还款。
- 等额本金偿付:每月还的本金数相同
利息:120w*6%=7.2w;每月还:(120w+7.2w)/12=10.6w
总和:127.2w - 等额本息偿付:每月还的本金和利息相同
利息:an=10.6−0.5%*n
第一个月 120w*0.5%=6000,月还 10w+6000=10.6w
第二个月 110w*0.5%=5500,月还 10w+5500=10.55w
第三个月 100w*0.5%=5000,月还 10w+5000=10.5w
...
总和:等差数列𝑛(𝑎1+𝑎𝑛)=0.5*12*(10.6+10)=123.6w
等额本金多付了1倍利息,即多付了3.6w 。
方程
人对数的认识:从具体到抽象
学习数学,重要的是把实际问题 翻译成 数学问题,然后用工具解题。
方程是 一个把 具体问题 映射成 类型问题 的工具。
虚数
虚数是由解 三次方程 得出来的。
一个数,自身的平方是负数。
虚数 是计算的中间值,计算完成会被抵消,相当于一个 催化剂。一个媒介工具。
引入虚数后,所有的 一元N次方程 都有 N个解。
虚数,可以将直角坐标,变为 极坐标。
自然数,引入 有理数(0,负数、分数), 加减乘除和乘方 就解决了。
引入 无理数,开方 就解决了。
引入 虚数,负数开方 就解决了。
无穷
无穷小、极限、微积分、导数、瞬时速度
人有想象力,虽然 看不到无限的事物,却能 想象出一些规律,再 按逻辑保留合理的,就能用。
无穷大 不 满足基本运算,加减乘除,他不是一个数,反映一种趋势,描述 动态变化 到了 最终尽头。
无穷大的应用:时间复杂度O(n)衡量
当逻辑与经验相悖时,
- 经验错。实际是,地球围绕太阳转。
- 逻辑的概念缺失。
逻辑缺失1:引入 无穷小
悖论:龟兔赛跑,乌龟在兔子前方10m处。当兔子追10m后,乌龟先于兔子1m,当兔子追1m后,乌龟先于兔子0.1m... 兔子与乌龟的距离不断接近,但兔子永远追不上乌龟。

反驳论点:无穷小、极限
无穷小:
把兔子追赶距离分为无限多份,每个值逐渐变小,但都不是0。这些值累加,就是等比级数。
S=10+1+0.1+0.01+...
S=?
定义 一个量,叫无穷小;满足两个条件:
- 不是0
- 绝对值< 任意一个你给定的数(无限接近0)
悖论解释:
等比数列中,无穷多个 无穷小 累加,结果值 是有限的。不断变小的 等比数列,收敛速度更快,会形成一个高阶无穷小。
S=10/9
阶数,无穷小的高阶,指的两个无穷小相比,分子收敛速度更快。无穷小的高阶,指的两个无穷大相比,分子发散速度更快。
无穷小:极限为0;无穷大,极限为无穷∞
逻辑缺失2:引入 瞬时速度
悖论:射出的飞箭是静止的。飞箭在任意时刻都有一个固定的位置,既然有固定的位置,就是静止的。时间由每一刻组成,如果每一刻飞箭是静止的,那么,飞箭就是不动的
瞬时速度:
牛顿 用导数 引出瞬时速度,描述 一个曲线或者物理量变化的趋势和速率,即瞬时变化的规律,特别是加速变化的规律。
S=vt, S是距离(位移),v 是平均速度,t 是时间间隔
2h走了10km,那 v =S/t=10/2=5km/h
那如果想知道,某个时刻的速度,即瞬时速度 v 是什么,怎么做?

极限的情况下,
即,时间-距离曲线 在各个点 切线的斜率,就是各个点的瞬时速度。
瞬时速度 常用于表示 子弹出镗的速度,命中目标的速度,汽车出事故这一时刻的速度。这个瞬时速度,也叫 导数。
瞬时速度 是 时间-位移 的导数,加速度 是 时间-速度 的导数;经济增长率,是 时间-GDP 的导数,增长率增速 是 时间-增长率 的导数。
悖论解释:
v=△S/△t,当 △S->0 (△S趋向于无穷小),△t->0 (△t趋向于无穷小), v=定值,即斜率!=0
数学不是实证科学,不能简单 通过实验 来证实,需要逻辑完美。
数列极限
一个数列
数学语言表述:
if
,随着数列项数 足够大,数列Xn的值无限接近于极限值 ,并且这个接近的程度可以控制在任意小的正数 内 - n∈(N,+oo),从某个特定的点(即N)开始,之后的所有项都具有一种稳定的特性,满足1个接近程度的要求
- ε∈(0,无论多小的极小值),一个正的极小量,通常用于衡量数列项与极限值之间差距的容忍度
then Xn->A
定义 任意一个小的误差∀ε,寻找一个满足的条件的 第N项∃N ->逆向思维
函数极限
一个函数f(x)=sinx/x,x!=0,当 x ->0时,它的值是多少?
数学语言描述:f(x) 在x=a 的去心领域内有定义,∃ constantA,∀ε>0,∃δ>0,when0<|x−a|<δ,|f(x)−A|<ε
称,A 是 f(x) 的极限,或者说 f(x) 收敛于 A,记为
无穷小,一种特殊极限,
ref:【数学笔记】极限的定义与性质 – Machine World (gxnuliw.cn)
牛顿说的瞬时速度,就是 t0时刻开始,时间间隔->0 时,距离间隔/时间间隔 的极限。
无穷大和无穷小,是数列和函数变化的趋势,某些数列或函数增加的更快则是高阶数。
无穷小->0, 则两个无穷小中,若谁接近0的速率更快,则更高阶。
图例函数中,x与sinx 是等价无穷小,

无穷大 加乘 都是无穷大,无穷小 加减乘 都是无穷小。